合作客戶/
拜耳公司 |
同濟大學 |
聯合大學 |
美國保潔 |
美國強生 |
瑞士羅氏 |
相關新聞Info
-
> 雙子型起泡劑ULT-1的分子結構式、表面張力、抗溫/抗鹽性能及煤樣潤濕性變化——摘要
> 基于脫模劑應用實現聚苯乙烯類生物材料改性
> 如何判斷表面張力儀的好壞?
> 溫度及壓強對CO2-NaCl鹽水系統界面張力的影響(一)
> 應用熒光顯微鏡研究了蛋白質在氣-水界面的組裝——摘要、介紹
> 涂層表面張力是什么意思?涂層表面張力大好還是小好
> 真空烘烤設備服務于航天器研制過程中的污染控制
> 正己醇聚氧乙烯醚硫酸鈉、正己醇聚氧丙烯醚硫酸鈉水溶液平衡表面張力、動態表面張力測定(一)
> 農藥助劑對70%吡蟲啉水分散粒劑在小麥葉片上附著性能的影響
> 非-陰離子型醇醚磺酸鹽表面活性劑降低魏崗原油的表面張力(一)
推薦新聞Info
-
> 反離子鹽KBr濃度對酰胺基陽離子Gemini表面活性劑的表/界面活性的影響(二)
> 反離子鹽KBr濃度對酰胺基陽離子Gemini表面活性劑的表/界面活性的影響(一)
> 典型離子型與非離子型起泡劑的界面行為對泡沫性能的影響機制
> 新無氰白銅錫電鍍液及電鍍方法可降低表面張力,促進鍍液對復雜工件的潤濕
> 一種耐超高溫酸液體系、制備方法及其應用
> 納米滲吸驅油劑種類、降低界面張力和改變潤濕性的能力等機理研究(四)
> 復合驅中聚合物與陰離子表面活性劑的協同作用研究
> 化學組成對無堿鋁硼硅OLED基板玻璃表面張力的影響——結果、結論
> 化學組成對無堿鋁硼硅OLED基板玻璃表面張力的影響——摘要、實驗方法
> 納米滲吸驅油劑種類、降低界面張力和改變潤濕性的能力等機理研究(三)
誰的表面張力更大?
來源:李傳亮 瀏覽 1544 次 發布時間:2022-06-20
從前發過一個帖子“好大的泡泡“,帖了兩張吹的比人還大的肥皂泡泡供大家娛樂消遣,并說了大泡泡的表面張力也會很大的意思。
有網友提出了不同看法,說大泡泡的表面張力不是很大,應該很小,表面張力小才容易起泡,增加表面積做功才最少。
他們的說法似乎也有道理,一個泡泡圖片引發了大家的思考,是一件很好的事情。
我是這樣分析泡泡的受力情況的,圖中的泡泡不是人吹的,而是風吹的,泡泡的內外都是空氣,但里面的壓力肯定比外面的壓力高,二者的差值為泡泡的附加壓力,也就是人們常說的毛管壓力。由于風是固定的,因此附加壓力的數值也是一樣的。在相同的附加壓力下,是大泡泡的表面張力大,還是小泡泡的表面張力大呢?
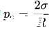
由于附加壓力
,曲率半徑越大,表面張力[公式]也就越大,因此,只有表面張力較大的液體才能吹成更大的泡泡。若表面張力較小,還沒等吹大就破了。表面張力與固體材料的應力強度極為相似,都是破裂時的力學性質。
我沒有深入研究過表面化學,一時也找不到更好的解釋,請大家討論一下吧,看誰能給出更好的答案,期待中。。。





