合作客戶/
拜耳公司 |
同濟大學 |
聯合大學 |
美國保潔 |
美國強生 |
瑞士羅氏 |
相關新聞Info
推薦新聞Info
-
> 反離子鹽KBr濃度對酰胺基陽離子Gemini表面活性劑的表/界面活性的影響(二)
> 反離子鹽KBr濃度對酰胺基陽離子Gemini表面活性劑的表/界面活性的影響(一)
> 典型離子型與非離子型起泡劑的界面行為對泡沫性能的影響機制
> 新無氰白銅錫電鍍液及電鍍方法可降低表面張力,促進鍍液對復雜工件的潤濕
> 一種耐超高溫酸液體系、制備方法及其應用
> 納米滲吸驅油劑種類、降低界面張力和改變潤濕性的能力等機理研究(四)
> 復合驅中聚合物與陰離子表面活性劑的協同作用研究
> 化學組成對無堿鋁硼硅OLED基板玻璃表面張力的影響——結果、結論
> 化學組成對無堿鋁硼硅OLED基板玻璃表面張力的影響——摘要、實驗方法
> 納米滲吸驅油劑種類、降低界面張力和改變潤濕性的能力等機理研究(三)
N-月桂基-N-甲基葡萄糖酰胺【下】
來源:上海謂載 瀏覽 1222 次 發布時間:2022-09-08
另一方面,在混合膠束形成過程中,含有兩種表面活性劑的混合物中協同作用的存在不僅取決于它們之間相互作用的強度,還取決于二元兩親混合物中單個表面活性劑組分的相關性質[23]。因此,混合膠束形成中協同作用所需的條件是bmic 12必須為負(見上節),且βmic 12>jlnecmc1=cmc2Tj(表2)。對于本二元混合物,這兩個條件都滿足。混合膠束形成中可能的協同程度通過混合表面活性劑的摩爾濃度與單個組分的摩爾濃度相比的最大降低來測量,即(cmc1)?cmc12,min)/(cmc1),其中cmc12,min是混合表面活性劑的最小cmc,由下式給出:
(cmc1)的值越大?協同程度越大。該值列于表2中,并與其他二元混合物的報告值相比較[23]。
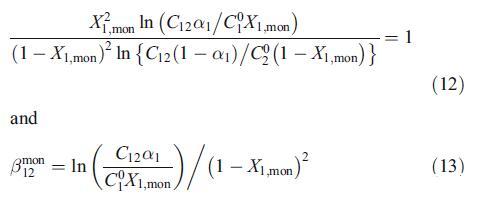
混合膠束規則溶液理論可以推廣到混合單層。為了評估混合單分子層中的相互作用參數bmon 12,可以在恒定γ值下推導出混合膠束的類似方程,如下[24,25]:
其中X1,mon是界面處混合單層中陽離子表面活性劑1(即HTPB)在總表面活性劑中的摩爾分數。C01、C02和C12分別是表面活性劑1和2及其混合物在給定界面張力下的體相摩爾濃度。根據上述方程在50 mN m時評估的bmon 12值?對于本二元混合物,1為:?2.95.與bmic 12相比,表明混合膠束中的相互作用比空氣-水界面更有利。HTPB和Mega-10二元混合物的單層組成(X1,mon)隨αHTPB的變化如圖3所示。X1,mon的值顯示了與膠束組成相同的行為(X1,mic)。
表2膠束中的平均相互作用參數值,bmic 12,ln cmc1=cmc2 je?cmc12,min)/(cmc1),以及根據Maeda方法的HTPB+Mega-10表面活性劑二元混合物的相互作用參數
為了補充混合膠束分析的穩定性,我們還使用了Maeda的方法,該方法還考慮了混合膠束中的疏水鏈-鏈相互作用,特別是當鏈長度不同時[21]。簡言之,根據Maeda的模型,離子物種向非離子膠束的轉移包括兩種不同的貢獻:極性頭部基團之間的相互作用和疏水鏈之間的相互影響。當疏水鏈相似時,第一貢獻占主導地位,然而,當疏水鏈長度不同時,這些鏈之間的相互作用變得更為主導。Maeda的方法強調,除了從規則溶液理論獲得的相互作用參數之外,還有另一個參數(B1),該參數有助于在用離子單體替換非離子純膠束中的非離子表面活性劑單體時混合膠束的穩定性。這一過程是由于組件之間的短程相互作用而產生的。在該模型中,膠束化自由能(ΔGmic)作為混合膠束中離子物種摩爾分數的函數給出如下[21,24]:
其中B0是與非離子組分(C1)的cmc相關的獨立項,由下式給出:
B2是正規溶液理論中bmic 12的類似物,如下所示:
B1和B2與純系統的cmc值相關:
通過使用等式16,可獲得參數B2,隨后可從等式17獲得B1。表2顯示了B0、B1和B2的值。本混合系統報告的B1值為?7.91.B1的大負值表明烴鏈-鏈相互作用對混合膠束的穩定性也起著重要作用。Maeda還報告了不同二元混合物的負和正B1值,并得出結論,鏈-鏈相互作用和頭部基團的空間不相容性是這些變化的原因[21]。根據等式14和表2的參數,我們評估了膠束形成的自由能(數據未顯示)。這些評估值接近從偽相分離模型獲得的值(表1)。
聚合數(Nagg)
為了評估Nagg,我們使用了實驗部分[26]中所述的猝滅劑(CPYC)對探針(芘)的穩態熒光猝滅。該方法基于已知濃度的猝滅劑對發光探針的猝滅。已發現該探針-猝滅劑對適用于評估幾種膠束系統的Nagg[3,15–17,24,27]。使用以下方程[26]分析淬火實驗:
在該方程中,I1、0、I1、CQ和Cs分別表示在不存在猝滅劑的情況下,在有猝滅劑存在的情況下芘的第一振動峰的熒光強度、總猝滅劑濃度和總表面活性劑濃度。圖4顯示了HTPB/Mega-10系統作為αHTPB函數的猝滅圖。圖4中的實線表示具有相關系數的等式18的最佳擬合≥在所有猝滅圖中,我們獲得了線性行為。根據猝滅曲線的斜率(圖4)和cmc值,我們評估了Nagg值以及各組分N1、agg、N2、agg的部分貢獻,以及理想Nid-agg值,如圖5所示。部分貢獻是混合聚集數和膠束組成的乘積。理想行為由以下方程估算[28,29]:
純表面活性劑的Nagg與報告值一致[17]。圖5顯示了混合聚合數與理想值的正偏差。在圖5中,我們觀察到加入離子表面活性劑后,混合膠束的聚集數顯著減少,αHTPB=0.55,之后保持恒定并接近離子膠束的聚合數。這種行為可以通過考慮膠束中表面活性劑的離子頭基團之間的靜電相互作用來解釋。隨著離子物種的加入增加,靜電排斥也增加,導致靜電自由能增加。這種效應應導致表面活性劑的每頭基團的面積增加,其結果是聚集數減少。根據熒光猝滅數據,還可以根據以下關系式[24]評估斯特恩-沃默(KSV)常數,該常數反映熒光團對猝滅劑的可接近性:
圖4是ln I1的曲線圖;0 I1與CQ/mol dm?3.對于HTPB+Mega-10混合體系,在不同α
KSV值根據公式20(數據未顯示)的斜率進行評估,如圖6所示。圖6顯示KSV的值隨著HTPB成分含量的增加而降低,反映出熒光團變得更難接近猝滅劑。據報道,隨著陽離子gemini表面活性劑摩爾組成的增加,KSV降低[24]。
圖6 HTPB+Mega-10混合系統的KSV與αHTPB的關系圖
微極性
微極性研究提供了關于芘溶解的膠束狀態下芘探針的局部環境的信息[30]。這是通過監測12 mM表面活性劑總濃度下的I1/I3比實現的,該濃度高于不同αHTPB下的cmc。I1/I3的值反映了環境的極性,即,較高的值顯示較高的極性。因此,該參數可用于監測膠束區域水合作用引起的局部極性變化。
圖7 HTPB+Mega-10混合體系中芘熒光強度的I1/I3比與αHTPB的關系圖
I1/I3的值如圖7所示。觀察到純Mega-10膠束的極性小于HTPB膠束,表明Mega-10膠團的柵欄層對水的可達性小于HTPB膠束。可以看出,隨著α-HTPB的增加,I1/I3比系統地增加。這可能表明,隨著膠束組成的變化,不同環境中駐留的芘探針可能位于膠束的中心區域。
熒光各向異性(r)
為了研究混合膠束中兩種不同組分的行為,我們還使用羅丹明B作為熒光探針進行了偏振熒光測量。該探針在膠束介質中已經得到了很好的表征[31]。探針熒光發射的去極化程度是激發態壽命期間其旋轉擴散的量度。熒光各向異性(r)通過Perrin方程與探針周圍的粘度相關,如下[32]:
圖8 HTPB+Mega-10混合體系的熒光各向異性r與αHTPB的關系圖
其中r0是在沒有旋轉自由度的情況下獲得的發射各向異性的極限值,k是玻耳茲曼常數,T是溫度,τ是熒光團激發態的平均壽命,V是探針的有效分子體積,η是探針周圍的粘度。從等式21可以清楚地看出,較高的r值對應于較高的剛度,反之亦然。熒光各向異性的觀察值如圖8所示。圖8清楚地表明,純HTPB的膠束比Mega-10的膠束具有更高的剛性。這種行為可以通過膠束中表面活性劑分子的堆積排列來解釋,表明離子膠束中的堆積更緊密。這種行為可以解釋為HTPB極性頭基團的鏻離子上存在三苯基,這可能負責為膠束提供剛性。我們觀察到r值從αHTPB=0.2瞬時增加到αHTPB=0.4,在αHTPB增加后,r值保持增加,但以穩定的方式增加。r值的快速增加可能表明由于剛性混合膠束結構的形成,探針RB經歷了更粘性的環境。然而,r值的總體增加應解釋為,隨著離子組分參與的增加,膠束界面的微粘度增加。HTPB/Mega-10混合體系r值的增加與從Mega-10HTAB/HPyBr二元混合物中獲得的結果形成對比(未公開數據)。
結論
本研究探討了HTPB和Mega-10混合體系的界面和膠束物理化學性質。表面活性劑的表面過量值隨著水溶液中離子表面活性劑組成的增加而降低。這種行為對應于離子表面活性劑之間的靜電排斥和界面處熱運動的存在。討論了混合膠束的cmc穩定性,并觀察到HTPB/Mega-10混合體系的理想行為負偏差,表明混合膠束形成是由于協同效應。混合膠束(bmic 12)和混合單層(bmon 12)中的相互作用參數為負,表明表面活性劑在界面和膠束中具有吸引性相互作用,然而,bmic 12比bmon 12稍微有利。混合單層組成(X1,mon)和混合膠束組成(X1、mic)在各種αHTPB下顯示幾乎相同的值。由Maeda方法獲得的負B1值表明,在混合膠束形成中存在有利的短程吸引相互作用。膠束聚集數隨α-HTPB的增加而減少。這種行為歸因于離子表面活性劑在混合膠束中的較高參與度,并導致離子組分之間的靜電排斥。
微極性數據表明,通過改變離子表面活性劑的摩爾分數,芘在膠束中處于不同的局部環境中。熒光各向異性結果表明,隨著離子組成的增加,存在剛性和有序的膠束結構。
致謝
P、美國感謝日本科學促進會(JSPS)頒發博士后獎。我們感謝日本大阪市大阪城市大學化學系H.Tsukube教授的穩態熒光測量。我們還感謝日本大阪市大阪城市大學生物應用化學系T.長崎博士的熒光各向異性測量。





